|
|

【鄭州春秋化工有限公司】公司坐落在交通經濟發達的鄭州市高新技術開發區,本公司是一家以健康,綠色,環保產業為主導的公司,公司本著合作共贏、互惠互利的經營理念,讓客戶獲得優質產品的同時成本最低化...更多
鄭州春秋化工有限公司
經理:13526669916 李經理
電話:0371-66687686
郵編:450000
郵箱:9866839@qq.com
網址:www.89260.net
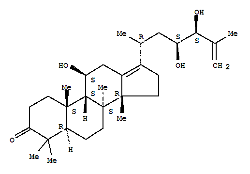
| 中文名稱: | 25-脫水澤瀉醇A;澤瀉醇G |
| 中文別名: | |
| 英文名稱: | Alisol g |
| 英文別名: | |
| CAS號: | 155521-46-3 |
| 分子式: | C30H48O4 |
| 分子量: | |
| EINECS 登錄號: | |
| 結構式: | ![]() |