|
|

【鄭州春秋化工有限公司】公司坐落在交通經濟發達的鄭州市高新技術開發區,本公司是一家以健康,綠色,環保產業為主導的公司,公司本著合作共贏、互惠互利的經營理念,讓客戶獲得優質產品的同時成本最低化...更多
鄭州春秋化工有限公司
經理:13526669916 李經理
電話:0371-66687686
郵編:450000
郵箱:9866839@qq.com
網址:www.89260.net
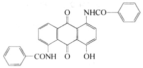
| 中文名稱: | N,N-(9,10-二氫-4-羥基-9,10-二氧代-1,5-蒽二基)雙-苯甲酰胺 |
| 中文別名: | |
| 英文名稱: | Benzamide,n,n-(9,10-dihydro-4-hydroxy-9,10-dioxo-1,5-anthracenediyl)bis- |
| 英文別名: | |
| CAS號: | 6370-96-3 |
| 分子式: | C28H18N2O5 |
| 分子量: | 462.4529 |
| EINECS 登錄號: | |
| 結構式: | ![]() |
| 物理化學性質 | ||||||||||||
|